• <sup></sup>

    1. <b id="LRWNayt"></b>
      <dd id="LRWNayt"><u id="LRWNayt"></u></dd>

              1. 集智平衡 · 平衡世界股票代码:300553

                联系电话:0571-8720-3497180-6987-3023

                English
                集智平衡机中国上市品牌

                转子动平衡的5个技术要点详细解析

                返回列表 来源: http://jd885.com 编辑: 集智平衡 发布日期: 2020-12-21 13:23:00

                转子动平衡的5个技术要点主要包含有:较正面的选择;较整平面数目;平衡转速;平衡时振动测点;试加平衡重量的选取,下面集智平衡机的小编为大家汇总详细解析转子动平衡各个要点。

                1 、校正面的选择

                消除转子的不平衡,使其处于平衡状态的操作叫作平衡校正,平衡校正是在垂直与转子轴线的平面上进行的,该平面称为校正平面。

                只需要在一个校正面内校正平衡的方式,称为消除转子的不平衡,使其处于平衡状态的操作叫作平衡校正,平衡校正是在垂直与转子轴线的平面上进行的,该平面称为校正平面。

                对于薄盘形状的转子,力偶不平衡很小,实用上都只做单面平衡。例如飞轮,砂轮,风扇叶片,离合器盘,以及最大外径为其净长度的5倍以上的转子等。

                对于初始不平衡量很大,旋转时振动过大的转子,在作动平衡之前要做单面平衡,以消除静不平衡。校正一般是在重心所在的平面内进行,以减少力偶不平衡。若重心所在平面不允许去重时,一般应在位于重心所在平面两侧的两个平面内进行。

                对于刚性转子而言,一般具有静不平衡与偶不平衡。可在任意选择的与轴线相垂直的两个校正平面内校正其不平衡,即所谓的双平面平衡。校正方法一般采用加重或去重的方式进行。校正平面的位置一般由转子的结构决定。为减少在平衡操作中所花费的时间和劳力,应设法减少校正量,为此在可能的条件下,尽可能地增加两校正面的距离和校正半径,以取得好的平衡效果。

                转子动平衡

                对于曲轴之类的转子,由于不平衡量校正的角度位置受到限制,用两个校正面达不到平衡要求,因此需要采用三面或五面方式。对于实际工作转速接近或超过临界转速的转子,在工作状态下已经呈挠性,故在平衡时必须考虑旋转引起的挠曲。当实际工作转速接近临界转速时,可用多转速两个以上校正面平衡;当转子转速远远超过一阶临界转速,而达到二阶临界转速时,就必须采用四校正平面以上的平衡法。

                2 、校正平面数目

                校正平面数目和轴向位里的选取根据振型法的原理,有N法和N+2 法,即根据待平衡的振型阶数N确定校正平面的数目。主要原则是平衡低阶振型时采用N+2平面,平衡高阶振型时采用N个平面。

                至于校正平面轴向位置的选取,要考虑以下两点:能使平衡重量在相应振型下产生较大的平衡效果;在平面上加重的可能性和方便性。

                但在实际平衡中,选取的校正平面不但要平衡一阶和二阶,而且还要平衡三阶,要满足以上两个条件是比较困难的。所以校正平面实际选取一般尽可能均布在转子的有效长度内,这样近似地能满足上述两个条件,而且对于减少高阶不平衡量也有利。

                对于影响系数法,校正平面的数目和轴向位置的确定,都应该以振型法为依据,否则,可能会导致计算出的校正质量过大,在实际中无法实现,或显著破坏高阶振型的平衡。

                转子动平衡机

                3 、衡转速

                平衡的目标是保证转子在一定转速范围内振动满足要求。对于工作转速至少大于一阶临界转速的柔性转子,不但要保证工作转速下振动满足要求,而且要保证启停过程中平稳地通过各阶临界转速。

                4 、平衡时振动测点

                对于振型法,从理论上来说取一个振动测点即可。对于影响系数法,方程组有解的条件是校正平面数目< 二测点数目*平衡转速数目。实际中为减少测量误差,往往要取多个振动测点,运用最小二乘法等来求解。

                测点数的确定包括:测点轴向位置的选取和测点方向的选取。

                轴向位置的选取原则为:原始振动大;距校正平面较近,且对该平面的加重敏感。

                对于其他测点应尽量抛弃,一方面为了减少测点数,另一方面因为这些测点的影响系数正确性较差,代入方程会显著降低校正质量计算的准确性。

                测点方向的确定,从理论上说,轴承XYZ三个方向的振动都可以作为平衡计算的依据,但是与不平衡质量有较好线性关系的,一是垂直振动,二是水平振动,最差的是轴向振动。而且水平和轴向振动中,往往会含有较大的非基频分量(不平衡分量为基频分量) 。

                5 、加平衡质量的选取

                无论采用哪种平衡方法,在确定平衡重量之前,都必须正确地选取试加质量。试加平衡质量选取得是否恰当,将直接影响到平衡试验的成败,特别是在测振幅的平衡中。当转子严重不平衡时或轴承振动过大时,如果试加平衡质量过小,将不会使轴承振动产生显著的变化,也就无法求得正确的校正质量的大小和相位。

                试重的选取包括大小和相位两个方面,相位的选取一般根据平衡经验并参考平衡的历史记录。

                试重的选取主要原则为:最好加在原始不平衡的反方向,以引起振动的减少;试重大小要合适,既要引起一定的振动变化,又不能引起太大的振动变化。

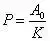
                当转子支承在平衡台上进行平衡实验时,单个平衡面试加平衡的大小可由下式计算:

                平衡面计算公式

                式中,A0为原始振动幅值;K为平衡台灵敏度系数,m/ (g.m)。

                平衡台灵敏度系数K对刚性一、二阶振动是不同的。对于摇摆式和弹性式平衡台,转子重5~40T ,在一阶振型下,K1=1.5~2.0 m/(g.m);在二阶振型下,K2=3.0~4.0m/(g.m)。转子的质量大小不同,灵敏度系数也就不同。一般地,质量小的转子取上限,质量大的转子取下限。

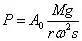
                当转子在自身支承上进行平衡实验时,每个试加质量由下式估算:

                计算公式

                式中:

                P——转子某一侧面的试加质量,kg;

                A0——转子某一侧面轴承原始振动幅值,m;

                r——试加平衡质量的安装半径,m;

                ω——平衡时转子的角速度,rad/s;

                M——转子的质量,kg;

                g——重力加速度,m/s²;

                s——灵敏度系数,对发电厂中的旋转机械,其值可参考下表。

                转子灵敏度系数参考表(单位:μm/rad²)

                集智平衡机品牌

                集智平衡、平衡世界,集智人将积极响应国家号召,做大做强民族产业,持续巩固和提升公司在国内外同行业中的技术优势,全面提升公司综合竞争能力和品牌影响力,为我国平衡装备制造业发展作出贡献。

                咨询热线

                180-6987-3023
                vrvGL
              2. <sup></sup>

                1. <b id="LRWNayt"></b>
                  <dd id="LRWNayt"><u id="LRWNayt"></u></dd>